南京工业大学JTAC |煅烧煤系高岭土-石灰石-硅酸盐水泥体系的性能及水化性能研究

产品信息1年前发布 admin
62 0 0

1.火山灰配方

方钉文库

2.火山灰烧烤

目前全球水泥工业的CO2排放量占全球人为CO2排放量的5-7%,而中国水泥工业的CO2排放约占全国碳排放总量的 13~14%,仅次于钢铁行业(18%)熟料作为水泥的关键组分,其在单位质量混凝土的质量占比不足。

3.火山灰用处

10%,但其生产过程的碳排放量占比却超过90%此外,水泥工业生产作为高能耗行业之一,其在工业总能耗量占比也较大作为硅酸盐水泥熟料的关键原材料,优质石灰石的匮乏已成为水泥工业可持续性的最大威胁之一未来水泥工业将从减量。

4.火山灰粉末

(替代)、节能(降耗)、固碳(利废)等多个维度开展全链减碳,以实现碳中和目标。其中,采用辅助性胶凝材料替代部分熟料,被认为是最有应用潜力的减碳技术途径。

南京工业大学JTAC |煅烧煤系高岭土-石灰石-硅酸盐水泥体系的性能及水化性能研究

5.火山灰的药用价值

LC3低碳水泥为水泥和混凝土行业低碳发展提供了一种可持续、低成本的技术途径,在印度、古巴及南非等高岭土资源丰富的国家实现应用煤矸石是随着煤的形成而形成的一种有机与无机化合物混合的岩石它是选煤过程中产生的主要工业固体废物,已成为中国最大的工业固体废物之一,堆存量巨大且持续增加。

6.火山灰反应的作用

煤矸石中的高岭石部分经煅烧后转化为偏高岭土,表现出优异的火山灰反应性,获得类似煅烧粘土的性能因此,煤矸石经低温工艺活化后可获得类似偏高领土的火山灰活性,具备减少硅酸盐水泥熟料的应用潜力,助力水泥行业节能减碳。

南京工业大学JTAC |煅烧煤系高岭土-石灰石-硅酸盐水泥体系的性能及水化性能研究

7.火山灰里面有什么营养

基于此,南京工业大学马素花教授团队以煤矸石为原料,经分级分质及均质化后,通过热处理制备了具有火山灰活性的煅烧煤系高岭土(CMK)并研究了以煅烧煤系高岭土(CMK)、石灰石(LS)和硅酸盐水泥(PC)为基材的三元体系的物理性能和水化性能,发现

8.火山灰怎么处理

CMK对水泥砂浆早期(3 d和7 d)抗压强度和LS对后期(28 d和90 d)抗压强度的负面影响可以通过LS和CMK的组合来抵消CMK和LS的共同掺入促进了水泥早期水化,CMK的火山灰反应产生了额外的水化产物。

9.火山灰可以食用吗

在三元体系中,LS的使用减弱了CMK的煅烧温度对水泥早期水化的影响,所有CMK-LS掺量的共混物的放热和强度发展情况相似在水化后期,LS的加入导致碳铝酸盐而不是单硫铝酸盐的形成,CMK促进了这一反应由于。

10.火山灰有什么营养

CMK和LS的协同作用,提高了硅酸盐水泥、CMK和LS的水化性能,CMK和LS的混合料有望成为一种有较好前景的辅助性胶凝材料相关研究工作以“The properties and hydration of a calcined coal series
metakaolin-limestone-Portland cement system”。

为题发表于《Journal
of Thermal Analysis and Calorimetry》,课题组硕士生张武星为论文第一作者,李伟峰教授为本工作的通讯作者。

南京工业大学JTAC |煅烧煤系高岭土-石灰石-硅酸盐水泥体系的性能及水化性能研究

/煤系高岭土的煅烧/作为采煤时产生的固体废弃物,煤系高岭土中含有部分高岭土,本工作使用马弗炉来对煤系高岭土进行煅烧处理,选取了650、700、750、800四个温度点分别煅烧2h,对煅烧过后的煤系高岭土进行了

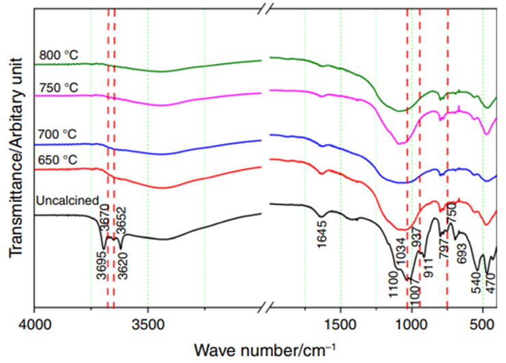
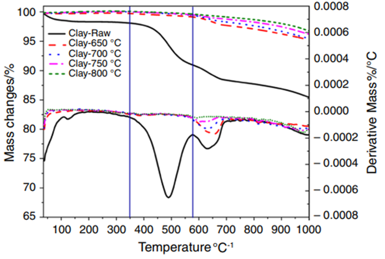
XRD分析(图1),可以看到无论那个温度煅烧后高岭土的特征峰均已消失同时还进行TG-DTG分析(图2)和红外光谱分析(图3)如图2所示在400-580℃的峰为高岭石脱羟基的失重峰图3中在3695、3670

和3650 cm−1处的振动带归因于位于Al八面体层基表面的羟基的O-H拉伸振动,在煅烧过后消失,说明煤系高岭土向非晶相转变。

南京工业大学JTAC |煅烧煤系高岭土-石灰石-硅酸盐水泥体系的性能及水化性能研究

图1 煤系高岭土煅烧前后的XRD图谱

南京工业大学JTAC |煅烧煤系高岭土-石灰石-硅酸盐水泥体系的性能及水化性能研究

图2 煤系高岭土煅烧前后TG-DTG曲线 

南京工业大学JTAC |煅烧煤系高岭土-石灰石-硅酸盐水泥体系的性能及水化性能研究

图3 煤系高岭土煅烧前后的红外光谱曲线/砂浆强度和水化放热/在7d后,CM砂浆的抗压强度发展明显增强(图4)煤系高岭石粘土在800℃下煅烧后的砂浆抗压强度与PC砂浆在28d和90d时的抗压强度基本相等,说明。

CMK的煅烧温度是影响体系强度发展的因素之一在水化后期,CM的强度进一步发展可以通过CMK的火山灰反应来说明,并丰富了体系的水化产物水化90d后,CM4砂浆的抗压强度在CM砂浆中最高,较高的煅烧温度导致煤系高岭石粘土中方解石的分解,这可能是造成这一现象的原因。

作者用等温量热法对共混物的早期水化进行表征(图5)LS的掺入使水泥水化休眠期缩短,而CMK的掺入使水泥水化休眠期延长加速期可以用硅酸三钙(C3S)的水化来表示,CMK和LS都增强了这个时期的水化放热,因为放热速率的加快。

南京工业大学JTAC |煅烧煤系高岭土-石灰石-硅酸盐水泥体系的性能及水化性能研究

图4
CMK和LS对硅酸盐水泥力学性能的影响  (a)抗压强度 (b)抗折强度

南京工业大学JTAC |煅烧煤系高岭土-石灰石-硅酸盐水泥体系的性能及水化性能研究

图5 样品的硅酸盐水泥水化放热曲线  (a)水化速率和(b)累积水化热/水化产物和孔隙结构分析/不含LS的水泥浆体在1d时形成钙矾石,在28d时转化为单硫铝酸盐,水化28d后CM2中没有钙矾石的峰,说明

LS的掺入稳定了钙矾石的存在(图6)在3d时,PL中形成了单碳铝酸盐(Mc)和半碳铝酸盐(Hc),而在相应龄期的LCM2中没有发现碳铝酸盐的峰,说明LS的加入促进了碳铝酸盐的早期形成在水化7d后,LS和

CMK的加入使共混物的孔隙分布得到了显著改善(图7)与CM共混物相比,LCM共混物的大孔隙减少,这是由于CMK和LS的协同作用产生了额外的水化产物LCM精细的孔隙结构也导致共混物在7d时的强度发展增加CMK

和LS的协同作用对共混物孔隙结构细化的影响在28d时更为明显。实验表明煅烧粘土可以细化孔隙分布,使阈值孔径、临界孔径和平均孔径减小。

南京工业大学JTAC |煅烧煤系高岭土-石灰石-硅酸盐水泥体系的性能及水化性能研究

图6不同龄期的水泥水化样的X射线衍射图(E-钙矾石、F-C4AF、Hc -半碳铝酸盐、Mc -单碳铝酸盐、Ms -单硫铝酸盐和AFm*-
AFm相可能包含CO32-和SO42-)

南京工业大学JTAC |煅烧煤系高岭土-石灰石-硅酸盐水泥体系的性能及水化性能研究

图7含CMK和LS的硅酸盐水泥水化7d (a)和28d (b)后的孔隙结构/总结/在本文中,煤矸石在650 ~ 800℃之间经适宜的热处理工艺时,煤矸石中的高岭土转变为偏高岭土在水化龄期早期,LS和CMK

均能促进和加速硅酸盐水泥的水化,对于水泥早期抗压强度而言LS的增强效果大于CMK,CMK有利于后期抗压强度在三元体系中,LS和CMK对水泥抗压强度有协同作用,导致LCM和PC在水化后期的抗压强度相近LS

的使用使得不同煅烧温度的CMK在早期水化年龄具有相似的等温量热和强度发展结果在水泥水化过程中,CMK和LS的协同作用消耗早期水化产物;Al2O3的加入促进了LS生成碳铝酸盐的反应,改善了水泥硬化浆体的孔隙结构。

原文链接:The
properties and hydration of a calcined coal series
metakaolin-limestone-Portland cement system | Journal of Thermal Analysis and
Calorimetry (springer.com)

方钉百科

© 版权声明

相关文章

暂无评论

none
暂无评论...